Formato de archivos .EJE
El archivo .EJE de geometría en planta contiene datos relativos a la geometría en planta de un eje.
Tiene el siguiente formato:
Cabecera
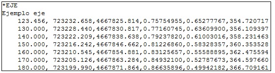
*EJE
Nombre del eje
Cuerpo
Una fila por cada estación múltiplo del intervalo indicado por el usuario, ordenados por estaciones crecientes.
- Campo 1
- Estación del punto, con 3 decimales.
- Campo 2
- X del punto, con 3 decimales.
- Campo 3
- Y del punto, con 3 decimales.
- Campo 4
- Coseno del ángulo fomrado por el vector tangencial en el punto considerado y el eje global X, con 8 decimales.
- Campo 5
- Seno del ángulo fomrado por el vector tangencial en el punto considerado y el eje global X, con 8 decimales.
- Campo 6
- Acimut del punto singular en planta, medido en ángulos centesimales de 0 a 400 con origen el Norte y sentido horario con 6 decimales.

Pie
No tiene.
Separadores
- Separador decimal
- Punto.
- Separador de campo
- Coma.
Ejemplo de muestra


Vea también
Datos de exportación formato .EJE
Exportar geometría en planta
Eje
Acciones sobre un eje